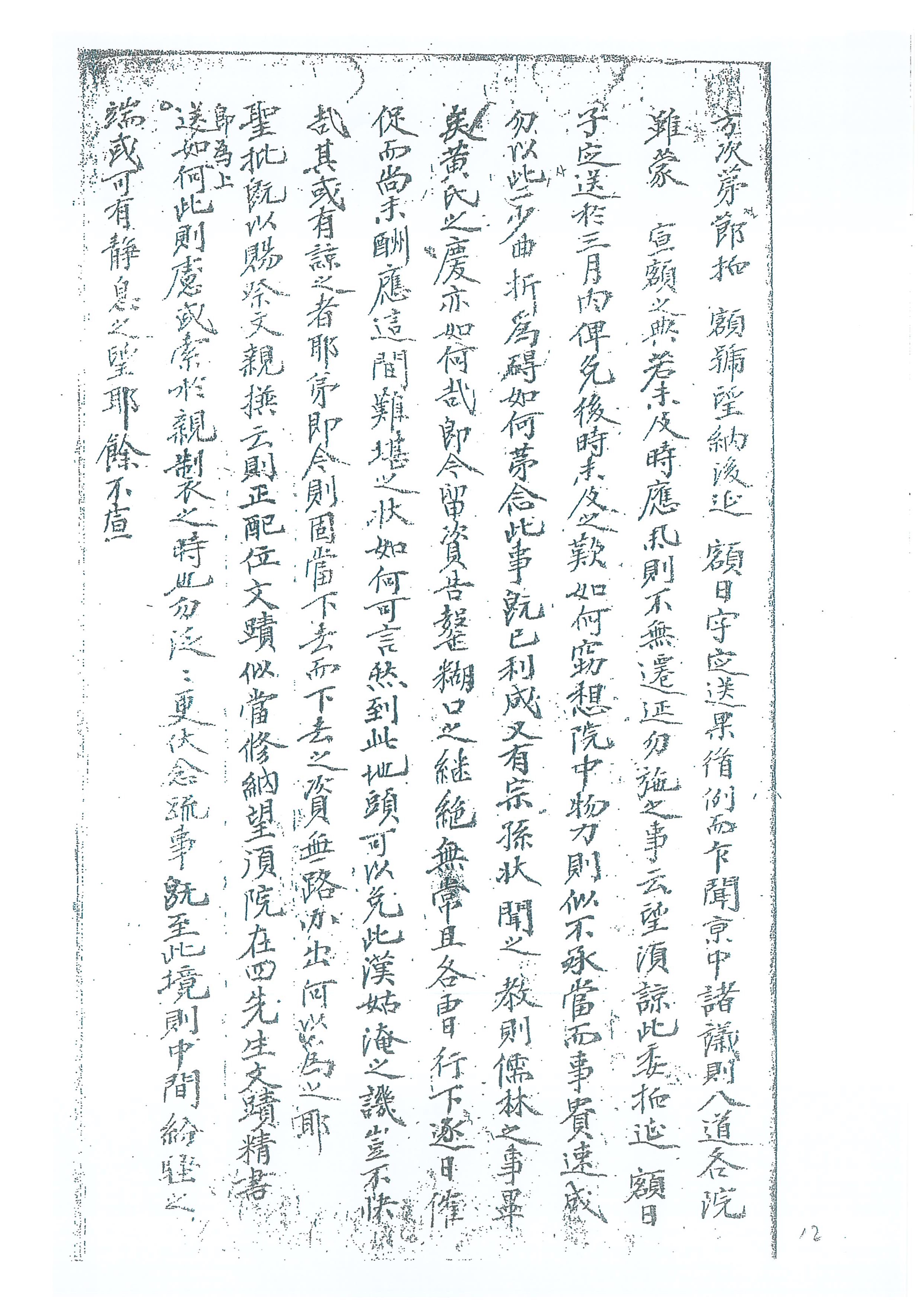
二十四日。玉成書院下人。自栗里來傳京書。果如李院長承延書中語。黃聖休書示疏批。批曰。省疏具悉。誠如爾等之言。以翼成之勳之勞。侑食之所。尙闕扁額。可謂曠典也欠事也。許令該曺詳考。曺在文蹟禀處。見聞所及。遠近多士之欣聳。不可勝言。
홈 > 문중 자료 > 일기 > > 01권 > 1789년 > 1월 > 24일
리스트로 첫 페이지 이전 페이지 다음 페이지 마지막 페이지 이미지+텍스트 본문 확대 본문 축소
상세내용
| 날 짜 | 1789년 1월 24일 / 정조13 / 기유 |
|---|---|
| 내 용 |
24일
玉成書院의 下人이 栗里에 온 서울의 편지를 전했다. 과연 院長 李承延의 편지 가운데 있는 말과 같았다. 黃聖休의 편지에 상소에 대한 批答이 보였다. 批答은 다음과 같았다.
"상소문을 보고 잘 알았다. 진실로 翼成公의 공훈과 수고는 너희들의 말과 같다. 선현의 혼령에 제사를 드리는데 아직도 扁額이 빠져있다는 것은 오랫동안 典禮를 행하지 않은 것이며, 흠이 되는 일이라고 할 수 있다. 해당 부서가 당사자의 문서와 장부를 자세히 살펴 품의하여 처리하라고 하였다."
보고 듣는 것이 미치는 곳의 멀고 가까운 많은 선비들이 기뻐함을 말로 할 수 없었다.
|
이미지
원문
二十四日。玉成書院下人。自栗里來傳京書。果如李院長承延書中語。黃聖休書示疏批。批曰。省疏具悉。誠如爾等之言。以翼成之勳之勞。侑食之所。尙闕扁額。可謂曠典也欠事也。許令該曺詳考。曺在文蹟禀處。見聞所及。遠近多士之欣聳。不可勝言。





